大東海泵業無錫有限公司
銷售總部:江蘇無錫新吳區長江路21-1號創源大廈309
生產基地:無錫市東港鎮
銷售熱線:0510-82108358
銷售熱線:0510-82116911
聯系電話:13395114288
QQ: 2634113519


大東海泵業無錫有限公司
銷售總部:江蘇無錫新吳區長江路21-1號創源大廈309
生產基地:無錫市東港鎮
銷售熱線:0510-82108358
銷售熱線:0510-82116911
聯系電話:13395114288
QQ: 2634113519


所謂的水泵的工作揚程就是指水泵安裝工程已經建成,正在運行的水泵的揚程。
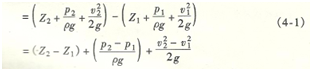
由式(3-2)可知,水泵的揚程H=E2 – E1。下面就圖4-1所示臥式離心泵裝置進行分析。以吸水池水面0-0為基準面,列出水泵進口斷面1-1和水泵出口斷面2—2的能量方程式。則揚程為H=E2-E1

式中zl、
相應于端面1-1處的位置水頭、絕 對壓力水頭和速度水頭(m);
相應于斷面2-2處的位置水頭、絕 對壓力水頭和速度水頭(m)。為了查看水泵的工作揚程,在水泵的進、出口斷面處分別安裝真空表和壓力表。真空表和壓力表的讀數為相對壓力,則有
P1= Pa-Pv
P2=pa+pd
式中pa——大氣壓力(Pa);
pv——真空表讀數(Pa);
pd——壓力表讀數(Pa)。
因為水泵的吸水管和壓水管管徑基本相等,所以u1、u2差別很小,
可以忽略;實際工程中△Z也很小,也可以忽略不計。則式(4—5)在實際應用時可寫為
H=Hv+Hd (4—6)
式(4—6)就是正在工作的水泵它的工作揚程計算公式,即只要把正在運行中的水泵真空表和壓力表讀數(按mHO計)相加,就可得到該水泵的工作揚程對應的壓力。
非常感謝您對大東海泵業無錫有限公司官方網站的訪問!以上是關于怎樣查看水泵工作揚程的介紹,如您對此問題還想深一步了解,或有其他泵業產品、水泵選型、水泵型號、水泵價格的問題需要解答,請聯系本水泵廠家,大東海泵業還生產排污泵,隨時歡迎您的咨詢。謝謝!